一、试剂介绍
我们来详细解析 BTQ-2 Amidite。这是一个高度专业化、用于固相合成化学的修饰性亚磷酰胺单体,专为在寡核苷酸链中引入BTQ-2这一特定功能模块而设计。
核心概念:一种在DNA/RNA合成仪上使用的“功能化核苷酸砖块”,用于在寡核苷酸序列的任意指定位置,精确、共价地嵌入BTQ-2分子。
整体分子结构与合成位置
结构示意:
BTQ-2-染料 — (柔性连接臂,如C6或PEG链) — 修饰位点 — 5‘-O-亚磷酰胺(带DMT保护)
修饰位点:通常连接在脱氧尿苷的C5位或脱氧腺苷的N6位,通过一个稳定的炔键或三键连接,确保染料在DNA双螺旋中精确定向。
连接臂:一个烷基链或短PEG链,将BTQ-2与核苷酸骨架隔开,防止庞大的染料分子干扰DNA的杂交能力和双螺旋结构,这对保持寡核苷酸功能至关重要。
在DNA合成中的位置:
链内修饰:与 “BTQ-2 dT Linker Amidite” 类似,它允许将BTQ-2插入到寡核苷酸链的内部,而非仅末端。通过将其加入合成循环,可在序列的任何位置(通常是一个“T”或经过修饰的位点)引入该功能分子。
优势:
位点特异性与原子精度:可在长链中实现单一位点、确定化学结构的修饰。
结构均一性:化学合成确保每一条寡核苷酸链的修饰位点和数量完全相同。
保持生物功能:合理的连接臂设计使得修饰后的DNA仍能高效杂交,适用于基于序列识别的应用。
高性能光学特性:BTQ-2染料通常具有高亮度、光稳定性好等优点。
注意事项
合成成本:远高于普通核苷酸单体。
偶联效率:修饰性亚磷酰胺的偶联效率可能略低,需优化合成条件。
纯化必要性:必须进行高分辨率纯化以获得均一产物。
储存:对水和氧气极其敏感,需严格无水无氧保存。
总结
BTQ-2 Amidite 是合成生物学与化学基因组学领域的一件精密工具。它将先进的染料化学与自动化寡核苷酸合成技术无缝衔接,使研究人员能够像“编写程序”一样,在DNA/RNA分子的精确坐标上“安装”定制化的功能模块。

二、试剂属性
中文名称: 5'-黑洞淬灭剂-2亚磷酰胺
英文名称:BTQ-2 Amidite
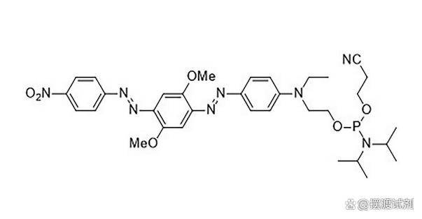
Chemical Name: 4'-(4-Nitro-phenyldiazo)-2'-methoxy-5'-methoxy-azobenzene-4''-(N-ethyl)-N-ethyl-2-cyanoethyl-(N,N-diisopropyl)-phosphoramidite
Formula: C33H43N8O6P
Molecular Weight: 678.72
纯度:≥95%
外观:固体(dark purple solid)
品牌:陕西新研博美生物科技有限公司
溶解性:溶于部分有机溶剂以及水
储存条件:-20℃以下冰冻、干燥避光保存,避免反复冻融
规格:1mg,5mg,10mg
结构式:

三、相关试剂
MB 680R TFP Ester
MB 660R DBCO
MB 543 Alkyne
JOE phosphoramidite, 5-isomer
JOE NHS ester, 5-isomer
MB 543 DBCO
MB 543 Picolyl Azide
MB 543 DBCO
Difluorocarboxyfluorescein NHS Ester, 5-isomer
MB 594 Alkyne
JOE phosphoramidite, 6-isome
Difluorocarboxyfluorescein Azide, 6-isomer
以上内容均由陕西新研博美生物科技有限公司小G整理完成
该试剂只用于科研实验,不能用于人体。