01研究背景
随着我国基建行业飞速发展,桥梁、大坝、隧道等混凝土构筑物数量迅速增长,混凝土成为应用最为广泛的建筑材料。传统混凝土脆性较大且抗拉强度低, 在经历高强度载荷、 较大温差变化时易出现裂缝。影响结构使用性能和安全性。传统的混凝土裂缝修复方法不仅成本高,时间长,而且裂缝修复效果不佳。20世纪20年代,Abram发现测试28d抗压强度的损伤混凝土试件置于户外环境长达8年,其抗压强度会提高至28d的两倍以上,首次揭示了混凝土自我修复现象[1]。此后,自修复混凝土受到了学术界和工程界越来越广泛的关注。自修复混凝土技术通过向混凝土中引入自修复剂、微生物等,使其具有自主完成裂缝修复和损伤修复的能力。不仅可以提高混凝土的使用寿命和可靠性,还能减少维护修缮成本,有广泛的应用前景。因此,深入研究自修复混凝土具有重要的现实意义。
02自修复混凝土方法的分类
2.1 结晶沉淀的自修复法
混凝土结晶沉淀自修复是在裂缝区未水化的水泥浆继续水化生成难溶的结晶沉淀方式进行自修复。反应过程中不断生成碳酸钙晶体,在裂缝中不断聚集生长与相邻结晶体之间键合以及与水泥浆体和骨料表面的化学粘结,逐渐进行微裂缝自然自修复。因此,通过对混凝土进行相应的盐溶液养护可有效加快裂缝区结晶沉淀的生成,减少相应的修复所需时间,提高自修复效率。刘素瑞等[2]在使用多种不同盐溶液养护下,混凝土得以迅速生成结晶沉淀从而达到自修复,结晶沉淀由主要由碳酸钙、C-S-H 凝胶及 Friedel 盐组成。
2.2渗透结晶自修复法
渗透结晶自修复法多采用在配制混凝土时加入渗透结晶型防水剂或在已成型混凝土表面涂一层渗透结晶型的防水涂料。此方法的原理是在混凝土中掺入含活性组分的渗透结晶材料,当混凝土发生开裂且渗水时,活性组分发生化学反应生成新的结晶物质,填充裂缝从而使混凝土密实达到自修复的目的。该方法的局限性在于在有水或湿度较高的环境易激发,受裂缝宽度限制。优点在于可多次修复,直到混凝土内渗透结晶材料逐渐被消耗殆尽。李国权等[3]研究了混凝土不同裂缝宽度、涂刷龄期及混凝土强度对水泥基渗透结晶型防水涂料自修复效果的影响,并改进修复方法。结果表明:迎水面1 mm以下裂缝宽度可完全不透水,有防水作用(见表1);背水面0.3 mm以下的裂缝宽度可以修复,且裂缝宽度越小、涂刷龄期越早,自修复越快效果越好。
表 1 迎水面不同宽度、不同涂刷龄期时的修复性能

2.3 电解沉积自修复法
利用电化学作用,以矿物作为电解质溶液,电解反应生成难溶性物质积聚在混凝土表面或裂缝中,达到微裂缝自修复目的。同时混凝土表面形成一层新的保护层,有效降低混凝土内部流体介质的流动,进一步降低混凝土的渗透性。该方法适用于水工环境,且受电解质种类、电流密度影响。
2.4 胶囊自修复法
胶囊自修复是指将修复剂放入微胶囊中,与混凝土一起搅拌。当出现裂缝时,胶囊的囊壁或者空心纤维会发生破裂,胶囊中储存的修复剂随之流出渗透至裂缝处,同时混凝土中携带的固化剂发生水化物反应,从而修复裂缝。使用此方法时,微胶囊在混凝土中掺量和均匀性较难控制。目前对混凝土自修复微胶囊的研究重点是囊壁材料,即通过寻找或合成更合适的囊壁材料,对混凝土本身性能影响较小的同时实现更为智能化的自修复触发机制。自修复微胶囊触发机制与愈合机制可大致分为物理自修复触发机制和化学自修复触发机制。物理自修复微胶囊是一种裂缝触发模式的修复体系,如图 1 所示,修复剂有环氧树脂、聚丙烯单体聚合等[4],当裂缝贯穿微胶囊内部时,微胶囊内部的囊芯的修复剂流出固化或多元修复剂参与反应固化填充裂缝,反应十分迅速。

图 1 微胶囊物理自修复机制
化学自修复触发机制是如果将侵入混凝中的腐蚀性离子或者化学环境的改变作为破裂的触发因子,从而提高微胶囊的触发率。目前对于化学触发型微胶囊的研究都主要集中在pH响应微胶囊和氯离子触发型微胶囊上。
2.5 纤维增强自修复法
混凝土纤维增强自修复技术部分原理同胶囊修复法原理相似,但修复剂载体上会存在不同,纤维的载体量更大,能够携带更多的修复剂。适用于窄裂缝, 纤维掺量、比例影响愈合效果。阚黎黎等[5]研究了不同龄期下高延展性纤维增强水泥基复合材料的自修复性能,其修复前后如下图2所示。另外,结果表明90 d龄期的裂缝宽度明显缩小,原因是长龄期试件的进一步水化导致基体化学粘结力的增强以及裂缝中存在更多沉淀物。


图 2 自愈合前后ESEM 照片
2.6 微生物自修复法
微生物自修复法是基于生物原理的自修复。无害细菌在混凝土中的高碱缺氧环境处于休眠状态,当存在裂纹时,氧气与水分逐渐渗透进入裂缝中,细菌孢子被激活,恢复新陈代谢。代谢中产生的二氧化碳与钙离子反应生成碳酸钙沉淀,从而填补裂缝。生物自修复法的优点在于绿色环保,实用性高,不会受制于修复剂的量,微生物的繁殖能力足以满足修复混凝土。但是,它的劣势在于修复过程相对漫长,对宽裂缝修复作用有限。图3为[6]完全愈合前后菌基标本裂缝的直接立体显微镜观察图。修复宽度为1毫米的裂缝需要在自来水中养护28天(图3a)。在加入营养物质的试样的裂纹中发现了少量的沉淀物(图3b)。

图 3 裂纹通过微生物自修复的演化图
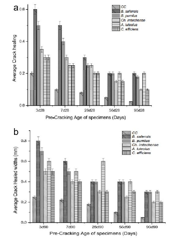
Shaheen等[7]对嗜碱性非孢子原种黄菌、关节杆菌和棒状杆菌作为愈合剂在水泥基环境中的存活时间进行了评估,以检查自修复混凝土的机械性能、自修复和耐久性。结果表明,菌株能沉淀出大量方解石,平均愈合裂缝为0.8mm,强度恢复率为86%。根据裂解后固化期28天和90天后每个裂纹的愈合反应,结果如图4所示。从结果中可以明显看出,生物修复剂的添加增加了开裂前期的裂纹愈合宽度。

图 4 (a)28天试样的平均裂纹愈合宽度
(b)90天试样的平均裂纹愈合宽度
2.7 形状记忆合金修复法
形状记忆合金是智能结构中应用最广泛的驱动元件,具有丰富的相变现象、
独特的形状记忆效应以及良好的超弹性效应,兼有感知和驱动能力。这种方法利用修复剂对裂缝修复功能和形状记忆合金驱动元件等,实现混凝土智能自修复。利用形状记忆合金形状恢复时产生的压力,提高修复剂粘结强度,从而增强修复效果。相比于其他方法,成本较高,工序复杂。
03自修复混凝土的研究热点
目前自修复混凝土技术的研究热点集中在自修复新材料的研发和自修复混凝土的性能评估[8]。国内外自修复材料种类研发已经有很多了,包括各种微生物、微胶囊、纤维等[9]。
另外,开发更高效、低成本的自修复剂和加强对自修复剂修复效果的评估和控制当前的热点。目前的评估方法主要包括力学性能评价、抵抗性的恢复等。
04自修复混凝土存在的问题
一方面,这些自修复方法都存在一定的局限性。结晶沉淀自修复法、渗透结晶自修复法、电沉积自修复法均需要有水分的存在,才能实现自修复,因此它们的应用范围比较受限;虽然胶囊自修复法、纤维自修复法修复速度较快,但在与混凝土搅拌过程中容易产生破裂,易造成自修复能力的丧失[10]。另一方面,它们与混凝土粘结性也较差。微生物自修复法比较复杂,在应用时需要考虑到微生物种类、环境,适应性等。微生物修复法多处于初步研究阶段,尚不成熟。
另外,自修复混凝土修复裂缝效果总体来讲较为有限,修复速度也比较缓慢。对于实际应用场景的混凝土自修复,成本能否得到有效控制也是一个重要问题。
05自修复混凝土的应用前景
自修复混凝土因其可以有效修复裂缝,提高混凝土的强度和耐久性,提高工程寿命,在海洋工程、建筑工程、交通工程、水利工程、核能工程、航空航天等领域均有广阔的应用前景[11]。海洋工程中的防腐蚀腐蚀、建筑工程中的抗老化、交通工程中的提高抗压性都能通过自修复混凝土技术来实现。
参考文献
[1] ABRAMS A. Autogenous healing of concrete[J]. Concrete, 1925(10):50.
[2] 刘素瑞,杨久俊,王战忠,等.混凝土自愈合能力环 境影响因素研究进展[J].硅酸盐通报, 2015, 34(10): 2851-2856
[3] 李国权,柯伟席,雷中梨等.水泥基渗透结晶型防水涂料自修复性能的研究[J].新型建筑材料,2022,49(07):72-75.
[4] Wang X F,Zhang J H,Han R,et al.Journal of Cleaner Production,2019,235,966.
[5] Belie D N ,Tittelboom V K .Self-Healing in Cementitious Materials—A Review[J].Materials,2013,6(6).
[6] ]阚黎黎,施惠生,翟广飞.高延展性纤维增强水泥基复合材料自愈合行为[J]. 硅酸盐学报,2011,39(04):682-689.
[7] Shaheen, Nafeesa,Khushnood, Rao Arsalan,Memon, Shazim Ali et al.Feasibility assessment of newly isolated calcifying bacterial strains in self-healing concrete[J].Conostruction and Building Materials Aterials,2023.
[8] ]姚嘉诚,延永东,徐鹏飞,等. 水泥基渗透结晶型防水材料和纳米二氧化硅改性混凝土自修复性能的研究[J].硅酸盐通报,2020,39(06):1772-1777.
[9] CUENCA E, POSTOLACHI V, FERRARA L. Cellulose nanofibers to improve the mechanical and durability performance of self-healing ultra-high performance concretes exposed to aggressive waters[J]. Construction and building materials, 2023,374:130785.
[10] 张胜莹,胡莹莹,顾玉龙.微胶囊自修复剂的研究进展[J].云南化工,2023,50(06):4-7.
[11] 闫新.自修复混凝土技术的现状与发展[J].中国建材科技,2023,32(03):37-41.
来源:重庆大学建材学社